はじめに
※間違い、ご指摘などがあれば(https://twitter.com/Dodgson_007)のDMにご連絡ください。
お問い合わせフォームからもどうぞ(https://dodgson.hatenablog.com/about)
解き方
あまりにも有名なので、『できるだけ短く』を意識して進めていきます。
少し雑になりますが、解は出るので問題ないです。
実際に問題を解く時は『はさみうち』を使うなり求められている形に上手く対応してください。
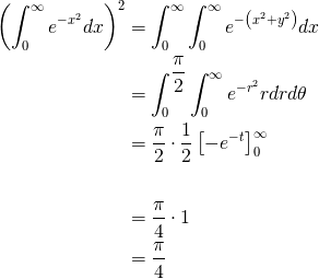
で、問題はこちら。
ここで、極座標変換を行います。
とおきます。
そしてわざとで考えます。
これはの2乗なので、あとから外せばいいです。
よって積分は、

以上より、
おわり。
簡単ですね。
もっとしっかりしたいなら、領域の内接円と外接円で、はさみうちすればいけます。
ちなみに、であり、
のグラフの対称性より上の解の2倍となります。
※グラフは以下の通り。
念のため覚えておきましょう。

正規分布ですね。
おわりに
今回はここまでです。
この記事の一番下に関連記事を用意していますので、勉強したい方はそちらからどうぞ。
結構役に立ちます!多分
次記事:より一般的なガウス関数の積分と、その簡単な解き方
←これをやります
dodgson.hatenablog.com
おすすめ記事紹介
下の記事が人気です。
dodgson.hatenablog.com